网站首页
实验室概况
实验室介绍
研究方向
发展历史
学术委员会
人才队伍
学术带头人
科研人员
实验仪器
大型设备
常用设备
技术平台
规章制度
科研成果
课题
文章
奖项
出版物
标本库
情况介绍
有关规定
实验室动态
联系方式
当前位置:首页 > 实验室动态
实验室简介
研究方向
发展历史
学术委员会
实验室动态
重点实验室关于先天畸形孕妇产前无创分子标志物筛查获得新进展
2022-3-10
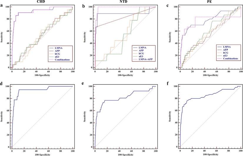
我们在前期研究中发现蛋白LMNA在先天性心脏畸形胎儿孕妇血清中表达明显降低,我们在前期研究基础上,利用出生队列及异常妊娠队列中孕妇血清标本,验证了LMNA的表达差异,发现LMNA对先天性心脏畸形、神经管畸形、先兆子痫具有较高的诊断价值,诊断AUC值分别为0.875,0.871,0.816,在神经管畸形的产前诊断中联合传统标志物AFP,诊断AUC值可提高至0.990。研究成果发表于EBiomedicine。
友情连接:
中国医科大学
附属盛京医院
附属盛京医院图书馆
国家自然科学基金委员会
NCBI
World Health Organization
国家卫生健康委员会
辽宁省卫生健康委员会
附属盛京医院院内办公网
中国辽宁省本溪市经济技术开发区木兰路7号 邮编:117004
No. 7 Mulan road, Economic Development Area, Benxi, Liaoning Province, 117004, P.R. China